Our latest publications are grouped in the boxes below.
The complete list of publications can be found in our GoogleScholar or Scopus profiles (links are available on Team page)

Marotta, A.*, Scherillo, F., Filippone, G., Salzano de Luna, M., & Ambrogi, V. (2025). Self‐healing Coatings Based on Epoxy Vitrimers. Macromolecular Materials and Engineering, 2500005. (open access).

Marotta, A., Preziosi, V., Tomaiuolo, G., & Filippone, G.* (2025). Bridge-to-drain: How nanoparticles can promote coalescence in model polymer blends. Journal of Colloid and Interface Science, 688, 140-149 (open access).

Parades-Aguilar, J., Agustin-Salazar, S., Cerruti, P., Ambrogi, V., Calderon, K., Gamez-Meza, N., & Medina-Juarez, L. A. (2025). Agro-industrial wastes and their application perspectives in metal decontamination using biocomposites and bacterial biomass: a review. World Journal of Microbiology and Biotechnology, 41(1), 16 (open access).

Marotta, A., Borriello, A., Khan, M. R., Cavella, S., Ambrogi, V., & Torrieri, E. (2025). Boosting Food Packaging Sustainability Through the Valorization of Agri-Food Waste and By-Products. Polymers, 17(6), 735 (open access).

Martella, D., Tusa, I., Tubita, A., Negri, A., Turriani, M., Rojas‐Rodríguez, M., Salzano de Luna, M., Menconi, A., Parmeggiani, C., & Rovida, E. (2025). Liquid Crystalline Networks Hamper the Malignancy of Cancer Cells. Advanced Healthcare Materials, 2403607 (open access).

Vitiello, L., Carroccio, S. C., Ambrogi, V., Podda, E., Filippone, G.*, & Salzano de Luna, M. (2024). Degradation kinetics of PLA/hemp biocomposites: Tradeoff between nucleating action and pro-hydrolytic effect of natural fibers. Composites Science and Technology, 257, 110806 (open access).

Sommese, F., Hosseini, S. M., Badarnah, L., Capozzi, F., Giordano, S., Ambrogi, V., & Ausiello, G. (2024). Light-responsive kinetic façade system inspired by the Gazania flower: A biomimetic approach in parametric design for daylighting. Building and Environment, 247, 111052 (open access).

Yu, C., Wang, Z., Fei, G., Zhang, X., Salzano de Luna, M.*, Lavorgna, M., & Xia, H. (2024). Robust self‐healing waterborne polyurethane coatings via dynamic covalent Diels‐Alder bonds for corrosion protection. Journal of Polymer Science, 62(5), 815-825 (link).

Vitiello, L., Salzano de Luna, M., Ambrogi, V., & Filippone, G.* (2024). A simple rheological method for the experimental assessment of the fiber percolation threshold in short fiber biocomposites. Composites Science and Technology, 245, 110345 (open access).

Vassallo, M., Vicentini, M., Salzano De Luna, M., Barrera, G., Tiberto, P., Manzin, A., & Martella, D. (2024). Magnetic Hyperthermia to Promote Acrylamide Radical Polymerizations. ACS Applied Polymer Materials, 6(8), 4696-4707 (link).

Hejazi, S., Carpentieri, A., Marotta, A., Restaino, O. F., Solimeno, I., Zannini, D., … & Porta, R. (2024). Chitosan/poly-γ-glutamic acid crosslinked hydrogels: Characterization and application as bio-glues. International Journal of Biological Macromolecules, 277, 133653 (link).

Di Mari, G. M., La Matta, V., Strano, V., Reitano, R., Cerruti, P., Filippone, G., … & Bruno, E. (2024). Optimized Chemical Bath Deposition for Low Cost, Scalable, and Environmentally Sustainable Synthesis of Star-Like ZnO Nanostructures. ACS omega, 9(37), 38591-38598 (open access).

Faggio, N., Olivieri, F., Bonadies, I., Gentile, G., Ambrogi, V.*, & Cerruti, P. (2024). Bio-based epoxy resin/carbon nanotube coatings applied on cotton fabrics for smart wearable systems. Journal of Colloid and Interface Science, 670, 337-347 (open access).

Liotta, I., Avolio, R., Castaldo, R., Gentile, G., Ambrogi, V., Errico, M. E., & Cocca, M. (2024). Mitigation approach of plastic and microplastic pollution through recycling of fishing nets at the end of life. Process Safety and Environmental Protection, 182, 1143-1152 (open access).

Muccilli, V., Maccarronello, A. E., Rasoanandrasana, C., Cardullo, N., Salzano de Luna, M., Pittala, M. G., … & Scamporrino, A. A. (2024). Green3: A green extraction of green additives for green plastics. Heliyon, 10(2) (open access).

Operato, L., Vitiello, L., Aprea, P., Ambrogi, V., Salzano de Luna, M., & Filippone, G.* (2023). Life cycle assessment of poly (lactic acid)-based green composites filled with pine needles or kenaf fibers. Journal of Cleaner Production, 387, 135901 (open access).

Salzano de Luna, M., Vetrone, G., Viggiano, S., Panzella, L., Marotta, A., Filippone, G.*, & Ambrogi, V. (2023). Pine needles as a biomass resource for phenolic compounds: Trade-off between efficiency and sustainability of the extraction methods by life cycle assessment. ACS Sustainable Chemistry & Engineering, 11(12), 4670-4677 (open access).

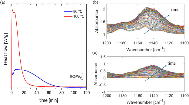
Brondi, C., Marotta, A., Filippone, G., Mensitieri, G., Salzano de Luna, M.*, & Ambrogi, V. (2023). Curing behavior of reprocessable epoxy vitrimers: thermal analysis and kinetics modeling. Macromolecular Chemistry and Physics, 224(22), 2300273 (open access).

Marturano, V., Marotta, A., Salazar, S. A., Ambrogi, V.*, & Cerruti, P. (2023). Recent advances in bio-based functional additives for polymers. Progress in Materials Science, 139, 101186 (open access).

Cappitti, A., Palmieri, F., Garella, R., Tani, A., Chellini, F., Salzano de Luna, M., … & Sassoli, C. (2023). Development of accessible platforms to promote myofibroblast differentiation by playing on hydrogel scaffold composition. Biomaterials Advances, 155, 213674 (open access).

Donato, S., Martella, D., Salzano de Luna, M., Arecchi, G., Querceto, S., Ferrantini, C., … & Parmeggiani, C. (2023). The Role of Crosslinker Molecular Structure on Mechanical and Light‐Actuation Properties in Liquid Crystalline Networks. Macromolecular Rapid Communications, 44(9), 2200958 (open access).

García, D., Salzano de Luna, M., Mensitieri, G., Escobar, M., Mansilla, M., & Baldanza, A. (2023). Carbon Nanotubes Networking in Styrene‐Butadiene Rubber: A Dynamic Mechanical and Dielectric Spectroscopy Study. Macromolecular Materials and Engineering, 308(3), 2200514 (open access).

Faggio, N., Marotta, A., Ambrogi, V.*, Cerruti, P., & Gentile, G. (2023). Fully bio-based furan/maleic anhydride epoxy resin with enhanced adhesive properties. Journal of Materials Science, 58(16), 7195-7208 (open access).

Vitiello, L., Papa, I., Lopresto, V., Mocerino, D., Filippone, G.*, & Russo, P. (2023). Manufacturing of bio-polyamide 11/basalt thermoplastic laminates by hot compaction: The key-role of matrix rheology. Journal of Thermoplastic Composite Materials, 36(5), 1877-1892 (link).

Carroccio, S. C., Scarfato, P., Bruno, E., Aprea, P., Dintcheva, N. T., & Filippone, G.* (2022). Impact of nanoparticles on the environmental sustainability of polymer nanocomposites based on bioplastics or recycled plastics–A review of life-cycle assessment studies. Journal of Cleaner Production, 335, 130322 (open access).

Marotta, A., Causa, A., Salzano de Luna, M., Ambrogi, V., & Filippone, G.* (2022). Tuning the morphology of HDPE/PP/PET ternary blends by nanoparticles: a simple way to improve the performance of mixed recycled plastics. Polymers, 14(24), 5390 (open access).

Marotta, A.*, Salzano de Luna, M., D’Avino, A., Fornaro, M., Filippone, G., & Ambrogi, V. (2022). Mechanical properties and reprocessability of Diels‐Alder‐based reversible networks from furan‐modified resins. Journal of Applied Polymer Science, 139(34), e52796 (open access).

Agustin-Salazar, S., Ricciulli, M., Ambrogi, V., Cerruti, P., & Scarinzi, G. (2022). Effect of thermal annealing and filler ball-milling on the properties of highly filled polylactic acid/pecan nutshell biocomposites. International Journal of Biological Macromolecules, 200, 350-361 (link).

Cioffi, M. O. H., Bomfim, A. S., Ambrogi, V., & Advani, S. G. (2022). A review on self‐healing polymers and polymer composites for structural applications. Polymer Composites, 43(11), 7643-7668 (link).

De Rosa, M., Filippone, G., Best, T. M., Jackson, A. R., & Travascio, F. (2022). Mechanical properties of meniscal circumferential fibers using an inverse finite element analysis approach. Journal of the mechanical behavior of biomedical materials, 126, 105073 (link).

Morici, E., Carroccio, S. C., Bruno, E., Scarfato, P., Filippone, G., & Dintcheva, N. T. (2022). Recycled (bio) plastics and (bio) plastic composites: A trade opportunity in a green future. Polymers, 14(10), 2038 (open access).

Li, Y., Liu, T., Ambrogi, V., Rios, O., Xia, M., He, W., & Yang, Z. (2022). Liquid crystalline elastomers based on click chemistry. ACS applied materials & interfaces, 14(13), 14842-14858 (link).

Salzano de Luna, M.* (2022). Recent trends in waterborne and bio‐based polyurethane coatings for corrosion protection. Advanced Materials Interfaces, 9(11), 2101775 (open access).

CarroLi, Y., Ambrogi, V., Cerruti, P., Goswami, M., Yang, Z., Kessler, M. R., & Rios, O. (2022). Functional liquid crystalline epoxy networks and composites: from materials design to applications. International Materials Reviews, 67(2), 201-229 (open access).